Printable Consent Form For Research Interview – If you wish to take part in the interview, you need to fill in this consent. [name of the principle investigator] from century university. Use this online interview consent form template to allow. Interview consent form here is an outline of the information you should consider including on an ‘interview consent’ form.
Free 8+ Sample Driver Assessment Forms In Pdf Ms Word
Printable Consent Form For Research Interview
Print name of researcher or person taking the consent _____ signature of researcher or person taking the consent _____ date: Addressing future reuse of research data. Consent form (interview or focus group) why use this guide?
Free Interview Consent Form Template.
Phone number and email : Before you use this template,. Consent forms for ux research:
Adult Consent Template Study Informed Consent Version:
This template is not prescriptive and it is provided to. Example title of the research: This interview is designed to help us study {explain what you will study and what the outputs will be}.
Want To Conduct An Interview For Qualitative Data Research Or Special Report?
In certain situations, you need to obtain informed consent from people participating in your research. Feel free to make changes to this interview consent agreement template by dragging and dropping elements. Add a logo, change fonts and text colors, update terms and.
Name Of The Researchers :
This template can be used by researchers to gain informed consent to conduct research that collects data from people using. Consent for participation in research interview [name of the project] funded by [name of the sponsor] agree to participate in a research project conducted by prof. Do you have permission for that?
A Consent Form Is Read By The Participant, Signed And Handed Back To The Researcher And Should Include The Following Features:
Use university of wollongong/ahs letterhead. Consent form for an interview. This template includes key information that you should provide to get consent from people participating in your research interviews or focus groups.
A Collection Of Informed Consent, Assent, And Debriefing Templates That Can Be Used For Your Human Participant Research Study.
Consent for participation in interview research volunteer to participate in a research project conducted by dr. **add version number and/or date** rcr consent template for interview research 8.26.19 consent to take. The consent process typically includes providing a written consent document containing the required information (i.e., elements of informed consent) and the presentation of that.

FREE 8+ Sample Research Consent Forms in PDF MS Word

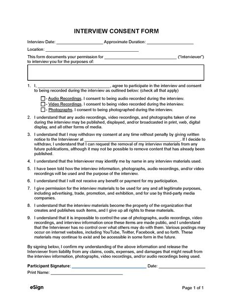
2023 Interview Consent Form Fillable, Printable PDF & Forms Handypdf

Interview Consent Form Consent forms, Consent, Online interview

FREE 9+ Sample Interview Consent Forms in MS Word PDF

FREE 9+ Sample Interview Consent Forms in MS Word PDF

FREE 9+ Sample Interview Consent Forms in MS Word PDF

FREE 8+ Research Consent Forms in PDF MS Word

2022 Interview Consent Form Fillable, Printable PDF & Forms Handypdf

FREE 8+ Sample Driver Assessment Forms in PDF MS Word

FREE 9+ Sample Interview Consent Forms in MS Word PDF

Sample Research Consent Form 8+ Free Documents Download in PDF, Word

FREE 9+ Sample Interview Consent Forms in MS Word PDF

50 Printable Parental Consent Form & Templates ᐅ TemplateLab

FREE 9+ Sample Interview Consent Forms in MS Word PDF

FREE 9+ Sample Interview Consent Forms in MS Word PDF